近日,色情传媒
光电物理系陈华俊教授团队在复合微纳系统光场量子调控的理论研究取得系列进展。相关研究成果发表于物理学期刊Physical Review A(中科院二区)、Optics and Laser Technology(中科院二区)、Results in Physics(中科院二区)上。
复合量子系统将完全不同的物理元件耦合在一起,可以实现单个元件无法拥有的新颖特性,引起了人们对该系统中量子现象研究和量子技术发展的极大关注。二元耦合的复合系统,例如固态二能级系统(超导比特、半导体量子点、半导体缺陷、原子系统、氮空位缺陷中心等)与纳米机械振子系统耦合是最典型复合量子系统。
当在二元复合系统中再引入其它模式构成多元模式耦合,将产生异于二元耦合系统的更为丰富的光学特征。通过对其光学特性的研究,复合微纳系统一方面将为光场的调控提供载体和媒介,为实现以光子为载体的量子信息处理与拓扑量子计算提供理论基础。另一方面,多元复合系统的研究也将拓展基础物理学理论,为探索多元系统中的相互作用规律、揭示其动力学机制提供理论模型与理论基础。通过在二元耦合的纳米机械系统中引入多声学模式,陈华俊教授研究了多模耦合体系中的光学现象诱导的光学传输。相关工作以题"Multiple-Fano-resonance-induced fast and slow light in the hybrid nanomechanical-resonator system"发表在Physical Review A, 104, 013708 (2021)上。


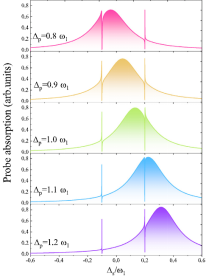
图1 (左图)共振条件下的探测吸收谱;(右图)不同耦合机制下的群速度。
为了在芯片上实现纳米机械振子的集成,需要考虑各个纳米机械振子之间的相互作用。通过严格控制纳米机械振子的频率,及各个模式之间的相互作用,陈华俊教授提出可实现串联及并联纳米机械振子网络系统。结果表明吸收谱将经历从Fano共振到电磁诱导透明的转变。相关成果以题"The fast–slow light transitions induced by Fano resonance in multiple nanomechanical resonators"发表在Optics & Laser Technology, 161, 109242 (2023)上。


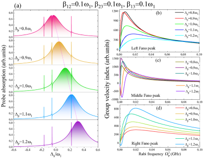
图2(左图)通过编制纳米机械振子,可实现不同的纳米机械耦合网络;(右图)纳米机械振子具有相同频率时的探测吸收谱。
纳米机械振子在芯片上集成时,制造工艺不可避免造成不同声学模式具有不同的质量、品质因子、及共振频率。研究结果表明不同的纳米机械振子将导致吸收谱中呈现Triple Fano resonance。陈华俊教授进一步深入研究了每个Fano共振将诱导出不同的光学传输特性,多力学模式耦合系统架起了沟通光学与力学领域的桥梁,为芯片级上量子信息处理等方面的应用提供了良好的集成平台。相关成果以题"Triple Fano resonance-induced slow light in multiple-mode coupling nanomechanical resonators"发表在Results in Physics, 50,106563 (2023)上。

图3(左侧)三Fano共振谱;(右侧)Fano共振诱导的慢光与快光之间的转换。
陈华俊教授长期从事与复合微纳系统中光场的量子调控研究,目前主持国家自然科学基金、中国博士后基金、安徽省自然科学基金等5项,以第一作者在国内外重要学术期刊Photonics Research、Science China-Physics Mechanics & Astronomy、Physical Review A、Optics & Laser Technology、Results in Physics等发表SCI学术论文30余篇。兼任Optics Express、Photonics Research、JOSA B、Applied Optics、Results in Physics、Sensors、Chinese Physics B、Chinese Optics Letters等期刊的审稿人。